四(3-巯基丙酸)季戊四醇酯
简称:PETMP,SUV-9 CAS NO 7575-23-7
理化指标:
|
性质 |
四(3-巯基丙酸)季戊四醇酯 |
|
外观 |
无色透明液态 |
|
分子量 |
488.66 |
|
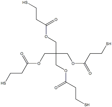
结构式 |
|
|
密度 g/ml |
1.28 |
|
折射系数 ( 25℃ ) |
1.53 |
质量与指标:
|
指标 |
四(3-巯基丙酸)季戊四醇酯 |
|
外观 |
无色透明液态 |
|
含量 % ≥ |
95 |
|
挥发分 ≤ |
0.3 |
|
色度 ≤ |
40 |
应用:
1. 有机合成中间体。
2. 用于UV涂料、油墨、粘合剂等聚合反应中的改性剂,交联剂,酸性离子交换催化剂,低温固化剂等。
包装与贮运:
30KG, 250KG塑料桶
通风阴凉处密闭储存。
